وصف المنتجات
اسم اللغة الإنجليزية: atracurium besylate
رقم CAS: 64228-81-5
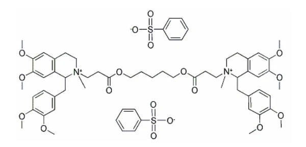
الصيغة الجزيئية: C65H82N2O18S2
الوزن الجزيئي: 1243.48
رقم EINECS: 264-743-4
الفئة ذات الصلة
مثبطات جزيء صغير ، المنتجات الطبيعية ؛ المواد الخام الصيدلانية. المكونات الصيدلانية النشطة ؛ الوسطيات الصيدلانية ؛ مواد خام؛ المواد الخام الطبية ؛ متوسط؛ Neuromugularblockingagent. المستحضرات الصيدلانية مريحات العضلات دواء التخدير دواء؛ أسيتيل كولنيرستورت. API syntetrin مثبطات مسكنات الكواشف تحليل الكلام الكيميائي - المعايير المرجعية ؛ API/الوسطيات ؛ الصناعة الصيدلانية والكيميائية ؛ الكواشف الكيميائية. pharmaceuticalmaterialAndInterMeidates ؛ activePharmaceuticalingredists. العطريات دراجات غير متجانسة الوسطيات و Finechemicals ؛ 64228-81-5
ملف مول: 64228-81-5. مول
الصيغة الهيكلية:

خصائص atracurium benzenesulfonate
نقطة الانصهار: 85-90 درجة
شروط التخزين: الجو الخامل ، 2-8 درجة
قابلية الذوبان: الذوبان في الماء ~ 27 ملغ/مل
الشكل: مسحوق
اللون: أبيض
chickikey: yxsljkqtidhpot-uhfffaoysa-n
قاعدة بيانات CAS: 64228-81-5 (مرجع قاعدة بيانات CAS)
طريقة التطبيق والتوليف من atracurium benzenesulfonate
استرخاء العضلات والهيكل العظمي للتخدير العام
Atracurium benzoate هو استرخاء في العضلات الهيكلية التخدير العامة للاسترخاء في العضلات في القصبة الهوائية والاسترخاء في العضلات الكيميائية المطلوبة لجراحة الصدر والبطن. مثل معظم الحصار العصبية العضلية ، يمكن أن يتسبب في إطلاق الهستامين ، وذهول الجلد ، وانخفاض ضغط الدم العابر ، وأحيانًا تشنج قصبي.
الجمع بين البنزينات الأتراكوريوم مع الغازات المخدر المستنشقة مثل الهالوجينات ، الأيزوفلورين ، والسفليورين قد يعزز تأثير الحجب العصبي. الاستخدام المتزامن مع أمينوغليكوسيدات ، قد يعزز العديد من المضادات الحيوية أو أملاح الليثيوم أو الكينيدين أو procainamide تأثيرها العصبي. لا ينبغي استخدام هذا المنتج بالاقتران مع استرخاء العضلات المستقطبة مثل كلوريد Succincholine بسبب إمكانية تأثير حجب الكيميائي المعقد لفترة طويلة ، والذي يصعب عكسه مع أدوية مضادات الكولينز. لا ينبغي استخدامه من قبل أولئك الذين يعانون من الحساسية لهذا المنتج. يجب توخي الحذر في المرضى الذين يعانون من جاذبي الوهن العضلي ، وأمراض العضل العصبي ، واضطرابات كهربائية شديدة ، لأنه يمكن أن يعزز آثار العوامل الأخرى غير المستقطبة. المرضى الذين يعانون من أمراض القلب والأوعية الدموية الحاد أكثر حساسية لانخفاض ضغط الدم المؤقت ، لذلك يوصى بالإعطاء البطيء في الوريد البطيء.
إشارة
يمكن استخدام atracurium benzenesulfonate في الجراحة والإجراءات الأخرى وكذلك علاج العناية المركزة. يستخدم كعامل مساعد للتخدير العام أو كمسكنات في وحدة العناية المركزة (ICU) ، فهو يرتاح عضلات الهيكل العظمي ويسهل التنبيب القصبة الهوائية والتهوية الميكانيكية.
تأثير علاجي
الأتراكوريوم البنزينزولفونات لديه خصائص التمثيل الغذائي من خلال المسارات غير الكبدية وغير الكنسية وحماية القلب والأوعية الدموية ، والتي لها مزايا في أدوية مماثلة. يكون تأثير استرخاء العضلات أقوى 3 مرات من تأثير البنزين atracurium السريري الشائع.
تعريف
atracurium benzene sulfonate هو مسحوق بلوري أبيض إلى مصفر في درجة حرارة الغرفة ، بسهولة ، بلا رائحة ، سهلة القابلة للذوبان في الكلوروفورم أو الإيثانول ، قابل للذوبان في الماء ، وغير قابلة للذوبان تقريبًا في الأثير.
- خذ حوالي 10 ملغ من هذا المنتج ، أضف 1 مل من حمض الهيدروكلوريك المخفف وأذوبه ، ثم أضف محلول اختبار يوديد البوتاسيوم البوتاسيوم المخفف لتوليد رواسب أصفر.
- خذ هذا المنتج ، أضف 0. 1mol/l حل حمض الهيدروكلوريك لجعل محلول يحتوي على 50ug لكل 1 مل ، وفقًا لقياس الطيف (الصينية الأدوية 2000 ، الجزء الثاني التذييل السادس) ، وهو الحد الأقصى للامتصاص عند طول 280nm.
- يجب أن يكون نمط امتصاص الضوء بالأشعة تحت الحمراء لهذا المنتج متسقًا مع نمط المنتج المرجعي.
فحص
لون الحل
بعد أخذ 100 ملغ من هذا المنتج وإضافة 10 مل من الماء لإذابةه ، يجب أن يكون المحلول عديم اللون ، مثل تطوير الألوان ، مقارنةً بمحلول اللون الأصفر رقم 3 (الطريقة الأولى للملحق التاسع A من الجزء الثاني من الطبعة الصينية Pharmacopoeia 2000) ، وليس أعمق.
مادة ذات صلة
خذ كمية مناسبة من هذا المنتج وأضف مرحلة متنقلة لجعل حلًا يحتوي على 1mg في كل 1 مل كحل منتج اختبار ؛ تم تحضير حل يحتوي على 5 0 ug في كل 1 مل عن طريق إضافة مرحلة الهاتف المحمول لتخفيف الكمية المناسبة من القياس الدقيق كحل تحكم. وفقًا لظروف الكروماتوغرافيا في ظل عنصر تحديد المحتوى ، تم حقن حل التحكم 10 في الكروماتوجراف السائل ، وتم ضبط حساسية الكشف لجعل ذروة الذروة للمكون الرئيسي الذروة بنسبة 20 ٪ ~ 25 ٪ من النطاق الكامل. ثم تم قياس الحلين أعلاه بدقة 10ul وحقنه في الكروماتوجراف السائل ، وتم تسجيل اللوني من محلول الاختبار إلى 2 أضعاف وقت الاحتفاظ بذروة المكون الرئيسية. إذا تم العثور على ذروة الشوائب في الكروماتوجراف في محلول الاختبار ، يتم قياس مجموع مساحة ذروة الشوائب ، والتي لا يجب أن تكون أكبر من مساحة الذروة لذروة المكون الرئيسي لحل التحكم (5.0 ٪).
كبريتات
خذ 1. 0 g من هذا المنتج ، أضف 3 0 ml من الماء ، وحلها ، تحقق وفقًا للقانون (الصينية الأدوية 2 0 00 ، الجزء الثاني الملحق ⅷ b) ، مقارنة بمحلول كبريتات البوتاسيوم القياسية المصنوعة من 5.0 مل في محلول الرقابة (وليس أكثر 0.05 ٪).
خسارة التجفيف
خذ هذا المنتج ، فوسفور بنتوكسيد كتجفيف ، تجفيف الفراغ عند درجة 5 0 لمدة 3 ساعات ، يجب ألا يتجاوز فقدان الوزن 2.0 ٪ (Edition الصيني Pharmacopoeia 2000 ، الجزء الثاني الملحق ⅷ L).
بقايا حرق
خذ 1. 0 g من هذا المنتج ، تحقق وفقًا للقانون (الصينية Pharmacopoeia 2 0 00 ، الجزء الثاني التذييل ⅷ n) ، يجب ألا تتجاوز البقايا 0.1 ٪.
المعادن الثقيلة
يجب التحقق من البقايا المتبقية تحت عنصر البقايا المتماثل وفقًا للقانون (القانون الثاني للملحق ⅷ H من الجزء الثاني من طبعة 2000 من الأدوية الصينية) ، ولا يتجاوز المعدن الثقيل 20 جزءًا لكل مليون.
الخاصية الكيميائية
مسحوق أبيض ، نقطة انصهار 85 ~ 90 درجة. تليين في 60 درجة C.
1r-cis ، 1r 'cis type (cisatracurium besylate): [96946-42-8]. الصلبة البيضاء.
يستخدم
استرخاء العضلات غير المستقطب ، 2.5 مرة أكثر قوة من التوبورارين ، ولكن مع فترة عمل أقصر. يتم استخدامه في مختلف العمليات الجراحية ، وخاصة التنبيب القصبة الهوائية وقسم قيصري.
استرخاء في العضلات الهيكلية للتخدير العام
طريقة الإنتاج
{{0}}}. 1mol of 1 ، 5- pentanediol ، 0. 1 0 0ml من البنزين اللامائي ، وتم إضافة 0.2 مللين من كلوريد الأكريليل إلى 60 مل من البنزين اللامائي خلال 0.5 ساعة تحت التحريض الشديد. أضف حوالي 100 مل من البنزين اللامائي و 10 مل ثلاثي إيثيل أمين ، ثم ضجة عند 50 درجة لمدة 0.5 ساعة. تصفية لإزالة هيدروكلوريد Triethylamine وتقليل الضغط لإزالة المذيبات. تم تقطير الزيت الأصفر المتبقي بعيدا عن الضوء في وجود تتبع p-methoxyphenol ، و 1 ، 5- تم الحصول على بيساريليت pentamethylene diacrylate من خلال جمع الكسر 90 ~ 95 درجة /1.33pa الكتب الكيميائية مع العائد 61 ٪. 4.43G Tetrahydropapaverine و 1.30g من 1 ، 5- تم إذابة دياكريليت البنتاميثيلين التي تم الحصول عليها أعلاه في بنزين لا يديم 15 مل وارتداد لمدة 48 ساعة من الضوء. تتم إزالة المذيب تحت الضغط ويتم حل الزيت الأحمر الداكن المتبقي في 10 مل من الكلوروفورم. أضف حوالي 400 مل من الأثير ، ثم أضف حوالي 500 مل من محلول الأثير من حمض الأكساليك المشبع للحصول على ترسب أبيض فادح. إجهاد ، يغسل مع الأثير ، وجاف. تم الحصول على مركب المسحوق الأبيض 3.5G (I) عن طريق إعادة التبلور مع الإيثانول مرتين. كان العائد 51 ٪ وكانت نقطة الانصهار 117-121.
تم إذابة المركب (I) في محلول بيكربونات الصوديوم واستخلاصه مع التولوين. بعد تركيز المستخلص ، تم الحصول على سائل لزج عديم اللون ، والذي كان مركبًا (ⅱ).
0. تم إذابة 5G من المركب المجفف (ⅱ) في 8 مل من الأسيتونيتريل النقي الطيفي ، ثم تمت إضافة حمض ميثيل بنزينفونيك وتفاعله في درجة حرارة الغرفة لمدة 22 ساعة. تحت التحريض الشديد ، تمت إضافة المحلول إلى حوالي 450 مل من Ethy Chemicalbook المجفف. تم غسل الترسبات الفطرية البيضاء التي تتشكل عن طريق الترشيح والتجميع مع الأثير الجاف وتجفيفها تحت الفراغ عند 50 درجة في وجود فوسفور بنتوكسيد. تم الحصول على مسحوق الأتراكوريوم الأتراكوريوم البيضاء مع نقطة انصهار من 85 ~ 90 درجة.
معلومات السلامة
ملاحظة السلامة: 24/25WGK Germany3
رمز الجمارك: 29334900
الوسم : الاسترخاء العضلات الهيكلية الأتراكوريوم ، الصين الأتراكوريوم بيسيلات العظمي الموردين على الهيكل العظمي, 103060-53-3, 8047-67-4, دالبافانسين هيدروكلوريد مضادات حيوية ليبوجلي كوبتيد, ملحق السكروز الحديد, polymyxin b sulfate antifical, يستخدم Sugammadex للكتلة العصبية العضلية

